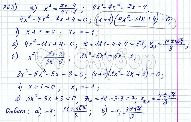
• Объясните как раскрыть уравнение (обведено серым цветом) Я не понимаю как в следующем действии получается такой ответ

    question img

Ответы 1

  • Тебе не нужно его раскрывать,просто решаешь через дискриминант,как сделано ниже)
    • Автор:

      teagan19
    • 6 лет назад
    • 0
  • Добавить свой ответ

Войти через Google

или

Забыли пароль?

У меня нет аккаунта, я хочу Зарегистрироваться

How much to ban the user?
1 hour 1 day 100 years