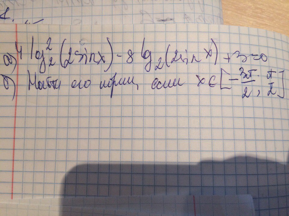
• a) 4log2^2(2sinx)-8(2sinx)+3=0
    б) найдите его корни , если х от -3п/2 ; п/2 

    question img

Ответы 3

  • огромное спасибо!
    • Автор:

      sasha6
    • 6 лет назад
    • 0
  • Удачи)
  • Ответ в прилржении ♡♤■□●○□♤♢
    answer img
    • Автор:

      shayla
    • 6 лет назад
    • 0
  • Добавить свой ответ

Войти через Google

или

Забыли пароль?

У меня нет аккаунта, я хочу Зарегистрироваться

How much to ban the user?
1 hour 1 day 100 years