• 15 баллов решите пожалуйста )
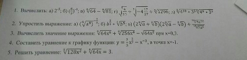
    1. шесть корней из 64 минус четыре корня из 81=...
    2.восемь корней из 4^10 * 3^5 умножить на восемь корней из 4^6 * 3^3=...

    question img

Ответы 3

  • большое спасибо, могу я подписаться на вас , чтобы переодически расчитывать на вашу помощь?
  • без проблем
  • 1. \sqrt[6]{64}-\sqrt[4]{81}=2-3=-1; 2. \sqrt[8]{4^{10}*3^5}*\sqrt[8]{4^6*3^3}=\sqrt[8]{4^{10}*3^5*4^6*3^3}=\sqrt[8]{4^{16}*3^8}=4^2*3=48
    • Автор:

      marina64
    • 6 лет назад
    • 0
  • Добавить свой ответ

Войти через Google

или

Забыли пароль?

У меня нет аккаунта, я хочу Зарегистрироваться

How much to ban the user?
1 hour 1 day 100 years