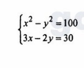
• Помогите пожалуйста решите пожалуйста систему уравнений

    question img

Ответы 9

  • Вот теперь то
  • можете пожалуйста скинуть?
    • Автор:

      loki70
    • 6 лет назад
    • 0
  • Я скинула
    • Автор:

      mitzi
    • 6 лет назад
    • 0
  • только последовательность картинок наоборот идет
  • Спасибо
    • Автор:

      oakley
    • 6 лет назад
    • 0
  • Спасибооо
  • пожалуйста =)
    • Автор:

      macy56
    • 6 лет назад
    • 0
  • Ответ смотри во вложении
    answer img
  •  \left \{ {{x_1=10} \atop {y_1=0}} ight.  \left \{ {{x_2=26} \atop {y_2=24}} ight. решение во вложении
    answer img
    • Автор:

      moya
    • 6 лет назад
    • 0
  • Добавить свой ответ

Войти через Google

или

Забыли пароль?

У меня нет аккаунта, я хочу Зарегистрироваться

How much to ban the user?
1 hour 1 day 100 years