• помогите пожалуйста ;(
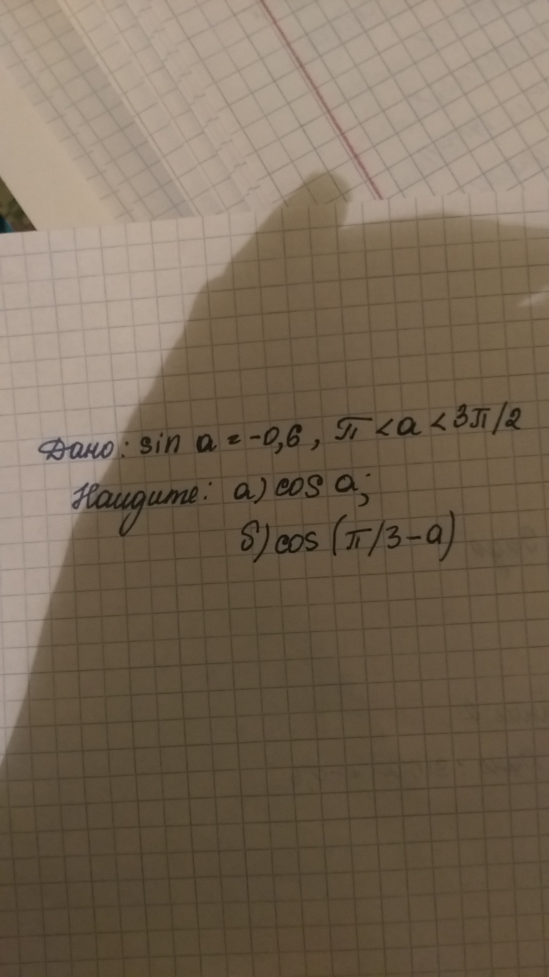
    дано: sin a =-0.6,п<а<3п/2
    найдите; а)cos a, б) cos(п/3-a)

    question img

Ответы 1

  • sin^2a+cos^2a=1cosa=√1-0.36=-0.8 т.к. в 3 четверти
  • Добавить свой ответ

Войти через Google

или

Забыли пароль?

У меня нет аккаунта, я хочу Зарегистрироваться

How much to ban the user?
1 hour 1 day 100 years