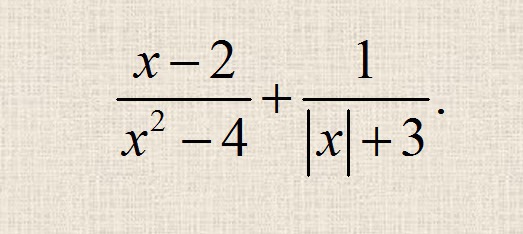
• Найдите допустимые значения переменной в выражении

    question img

Ответы 1

  • так как это дроби то знаменатель не может равнятся 0, находим 0 знаменателей: x^2-4=0; x^2=4; x1=2; x2=-2; а во 2 знаменателе модуль - вчегда положительное число, значит х может принимать любые значения кроме 2 и -2; Ответ: x=(-беск;-2) и (-2;2) и (2;+беск)
    • Автор:

      adriel
    • 6 лет назад
    • 0
  • Добавить свой ответ

Войти через Google

или

Забыли пароль?

У меня нет аккаунта, я хочу Зарегистрироваться

How much to ban the user?
1 hour 1 day 100 years