• Найдите корень уравнения. Решите по этапам , чтобы я понял как эти примеры делаются.!!

    question img

Ответы 2

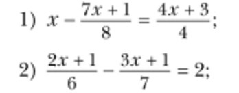
  • 1) 8x-8* 7x+1=8*4x+3                 8            4 8x-(7x+1)=2(4x+3)8x-7x-1=8x+6-7x-1=6-7x=6+1-7x=7X=-12)42*2x+1-42*3x+1=42*2          6           77(2x+1)-6(3x+1)8414x+7-18x-6=84-4x+1=84-4x=84-1-4x=83X=-83       4
    • Автор:

      lexiejvtv
    • 6 лет назад
    • 0
  • 1) сначала все подводим под общий знаменатель:(8x/8) - ((7x+1)/8) = 2(4x+3)/88x-(7x+1)=8x+68x-7x-1-8x=6-7x=7x=-12) общий знаменатель будет 42:7(2х+1)-6(3х+1)=2*4214х+7-18х-6=84-4х+1=84-4х=83х=-20,75
  • Добавить свой ответ

Войти через Google

или

Забыли пароль?

У меня нет аккаунта, я хочу Зарегистрироваться

How much to ban the user?
1 hour 1 day 100 years