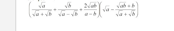
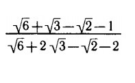
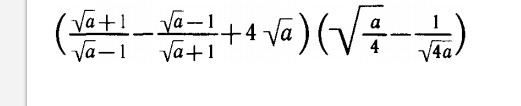
• помогите ,пожалуйста, хотя бы что-то !! задания в приложении

    question img
    question img
    question img

Ответы 3

  • а как вы фото вставляете ?
  • спасибо большое :)
  • Смотри ////////////////////////////
    answer img
    • Автор:

      aaden
    • 6 лет назад
    • 0
  • Добавить свой ответ

Войти через Google

или

Забыли пароль?

У меня нет аккаунта, я хочу Зарегистрироваться

How much to ban the user?
1 hour 1 day 100 years