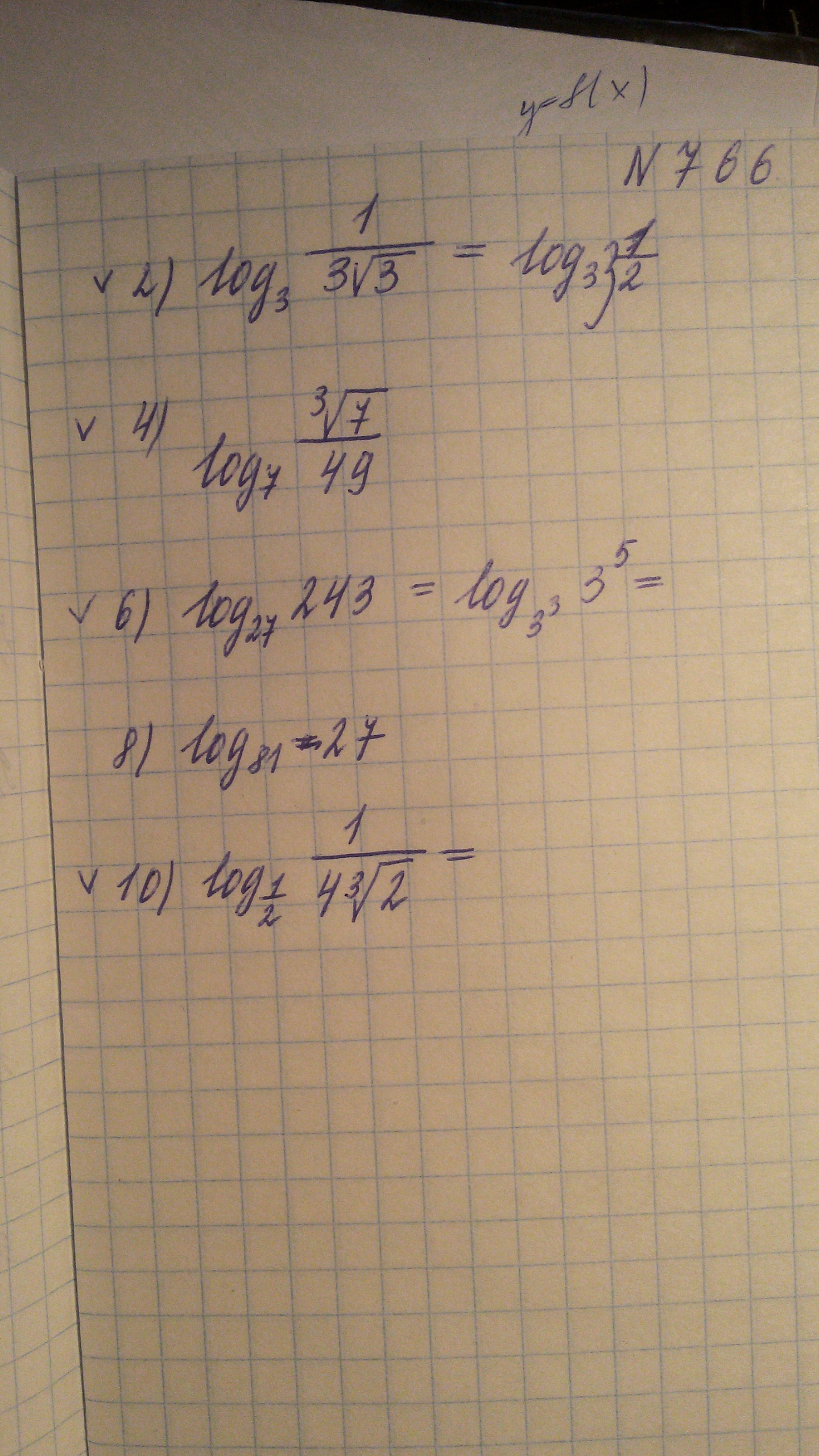
• Срочно! Помогите, пожалуйста, с решением данных выражений. Ничего не понимаю, поэтому лучше с подробным объяснением. Заранее спасибо, а то мозг кипит.

    question img

Ответы 2

  • спасибо!:)
  • ..................................................
    answer img
  • Добавить свой ответ

Еще вопросы

Войти через Google

или

Забыли пароль?

У меня нет аккаунта, я хочу Зарегистрироваться

How much to ban the user?
1 hour 1 day 100 years