• Помогите разобраться)))
    Что нужно делать???В школе такого не проходим!!
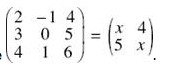
    Для помощи: там ответ 20

    question img

Ответы 3

  • Можете объяснить, что вы делали 1 действием????(2*0*6+3*1*4.......)
  • Я кроме решения квадратного уравнения ничего не понял. Просто в матрицах нифига не шарю
  • Ответ ¥¥£€£¥₩¥£€£¥₩₩£
    answer img
    • Автор:

      raven84
    • 6 лет назад
    • 0
  • Добавить свой ответ

Еще вопросы

Войти через Google

или

Забыли пароль?

У меня нет аккаунта, я хочу Зарегистрироваться

How much to ban the user?
1 hour 1 day 100 years