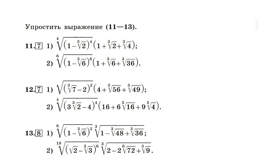
• Помогите, пожалуйста, с алгеброй. Хотя бы один пример, но подробно расписанный.

    question img

Ответы 2

  • В формулах допущенная ошибка: a^3+-b^3=...
  • .......................
    answer img
    • Автор:

      carlos290
    • 6 лет назад
    • 0
  • Добавить свой ответ

Войти через Google

или

Забыли пароль?

У меня нет аккаунта, я хочу Зарегистрироваться

How much to ban the user?
1 hour 1 day 100 years