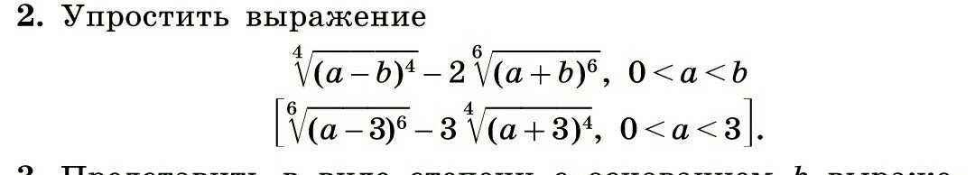
• Помогите с алгеброй. Распишите, пожалуйста, очень подробно.

    question img

Ответы 4

  • извините, а это точно правильно?
  • Конечно, квадратный корень неотрицательный
  • Спасибо большое
  • Ответ в приложении ₩¥£__£₩£_
    answer img
  • Добавить свой ответ

Войти через Google

или

Забыли пароль?

У меня нет аккаунта, я хочу Зарегистрироваться

How much to ban the user?
1 hour 1 day 100 years