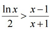
• Докажите, что при всех х>1 верно неравенство (cм. вложение)

    question img

Ответы 1

  • Inx x-1=in 2 x+1=3 если верно то поставь спасибо
  • Добавить свой ответ

Войти через Google

или

Забыли пароль?

У меня нет аккаунта, я хочу Зарегистрироваться

How much to ban the user?
1 hour 1 day 100 years