• Помогите, пожалуйста! Как решить данную систему уравнений?

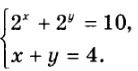
    question img

Ответы 1

  • у=4-х2^x+2^(4-x)=102^x+16/2^x=102^x=tt+16/t=10t^2-10t+16=0t1=2, t2=82^x=2, х1=1, у1=4-1=3.2^x=8, x2=3, y2=4-3=1.Ответ: (1;3), (3;1).
    • Автор:

      abby8
    • 6 лет назад
    • 0
  • Добавить свой ответ

Войти через Google

или

Забыли пароль?

У меня нет аккаунта, я хочу Зарегистрироваться

How much to ban the user?
1 hour 1 day 100 years