• Помогите, пожалуйста!
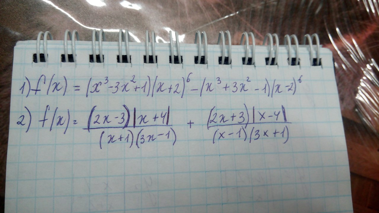
    Исследуйте функцию на чётность и нечётность. Обратите внимание на то, что во второй функции в числителе |x+4| и |x-4| находятся под знаком модуля

    question img

Ответы 1

  • Ответ ответ ответ ответ ответ ответ ответ
    answer img
  • Добавить свой ответ

Еще вопросы

Войти через Google

или

Забыли пароль?

У меня нет аккаунта, я хочу Зарегистрироваться

How much to ban the user?
1 hour 1 day 100 years