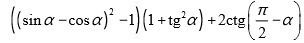
• помогите упростить тригонометрическое выражение пожалуйста

    если можно,то подробно,пожалуйста

    question img

Ответы 7

  • спасибо тебе большое. у меня завтра по этому контрльная, но мы не проходили формы проведения,только основные тригонометрические формулы. можно ли как-то решить по-другому?
    • Автор:

      johnston
    • 6 лет назад
    • 0
  • опять же добавила к решению фото... если эти формулы лень запоминать или что-то ещё , то есть правило из которого их вывели ()последнее фото)
    • Автор:

      richmond
    • 6 лет назад
    • 0
  • да мне не лень. я уже выучил)) дело в том,что в школе мы не проходили это. и если это у меня будет в решении,возникнут вопросы)
    • Автор:

      ariizgu
    • 6 лет назад
    • 0
  • Самое простое это по правилу, если в обход таблицы идти, по-другому я не знаю как это посчитать
  • ладно,спасибо тебе огромное
    • Автор:

      haiden75
    • 6 лет назад
    • 0
  • Первую скобку раскрываешь по формуле, вторую представляешь как 1/cos^2a, преобразуешь второе слагаемое.  Дальше легко
    answer img
    • Автор:

      bubbajeap
    • 6 лет назад
    • 0
  • 12345678901234567890
    answer img
  • Добавить свой ответ

Еще вопросы

Войти через Google

или

Забыли пароль?

У меня нет аккаунта, я хочу Зарегистрироваться

How much to ban the user?
1 hour 1 day 100 years