• Помогите пожалуйста! Нужно доказать равенство, если можно то на листочке...

    question img

Ответы 2

  • Спасибо большое!!!
    • Автор:

      kobazu8j
    • 6 лет назад
    • 0
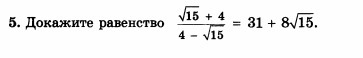
  • (4+√15)*(4+√15)/(4-√15)*(4+√15)= (4+√15)^2/(4^2-√15^2) (16+8√15+15)/(16-15)=31+8√15; числитель и знаменатель дроби (той что слева) умножили на (4+√15); в числителе у нас получился квадрат суммы двух чисел, а в знаменателе разность квадратов двух чисел;
  • Добавить свой ответ

Войти через Google

или

Забыли пароль?

У меня нет аккаунта, я хочу Зарегистрироваться

How much to ban the user?
1 hour 1 day 100 years