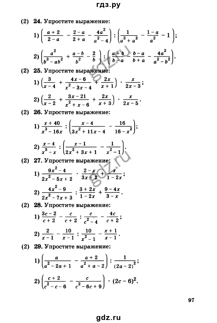
• Решите пожалуйста с номера 25 по 29 под цифрой 1,получается пять примеров

    question img

Ответы 1

  • Спасибо огромное)))Я очень тебе благодарна)
  • Добавить свой ответ

Войти через Google

или

Забыли пароль?

У меня нет аккаунта, я хочу Зарегистрироваться

How much to ban the user?
1 hour 1 day 100 years