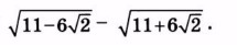
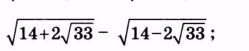
• выясните рациональным или иррациональным является число является значение выражения

    question img
    question img

Ответы 1

  • √146-(-√118)=√264 выражение является иррациональным
    • Автор:

      jacobs
    • 6 лет назад
    • 0
  • Добавить свой ответ

Войти через Google

или

Забыли пароль?

У меня нет аккаунта, я хочу Зарегистрироваться

How much to ban the user?
1 hour 1 day 100 years