• выясните рациональным или иррациональным является число является значение выражения с решением

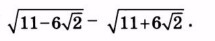
    question img
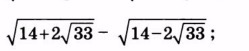
    question img

Ответы 2

  • спасибо
    • Автор:

      pratt
    • 6 лет назад
    • 0
  • sqrt-корень11-6*sqrt(2)= 9-2*3*sqrt(2)+2= (3-sqrt(2))^211+6*sqrt(2)= 9+2*3*sqrt(2)+2= (3+sqrt(2))^23-sqrt(2)-3-sqrt(2)= -2*sqrt(2)Первый пример иррациональный14+2*sqrt(33)=(sqrt(11)+sqrt(3))^214-2*sqrt(33)=(sqrt(11)-sqrt(3))^2sqrt(11)+sqrt(3)-(sqrt(11)+sqrt(3)= 2*sqrt(3)Второй пример иррациональный
    • Автор:

      dianaplsm
    • 6 лет назад
    • 0
  • Добавить свой ответ

Войти через Google

или

Забыли пароль?

У меня нет аккаунта, я хочу Зарегистрироваться

How much to ban the user?
1 hour 1 day 100 years