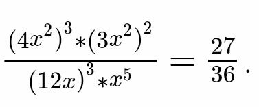
• ДАЮ 50 баллов. Решите уравнение со степенями. Должно получиться: х = 3/4 (/- дробная черта) Решите подробно. Жду

    question img

Ответы 2

  • Ответ другой получается
    • Автор:

      shields
    • 6 лет назад
    • 0
  • (64х⁶*9х⁴)/12³х⁸=27/361/3х²=27/36х²=81/36х=+-3/2
    • Автор:

      axle
    • 6 лет назад
    • 0
  • Добавить свой ответ

Войти через Google

или

Забыли пароль?

У меня нет аккаунта, я хочу Зарегистрироваться

How much to ban the user?
1 hour 1 day 100 years