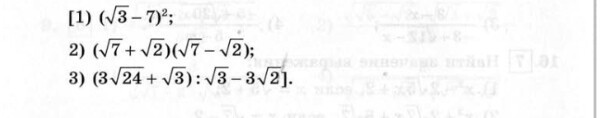
• Помогите в первом задании нужно упростить, во втором задании вынести множитель из под знака корень

    question img
    question img

Ответы 1

  • решение на фото..........
    answer img
  • Добавить свой ответ

Войти через Google

или

Забыли пароль?

У меня нет аккаунта, я хочу Зарегистрироваться

How much to ban the user?
1 hour 1 day 100 years