• прошу помогите! я долго проболел а тут проверочные начались спасайте!

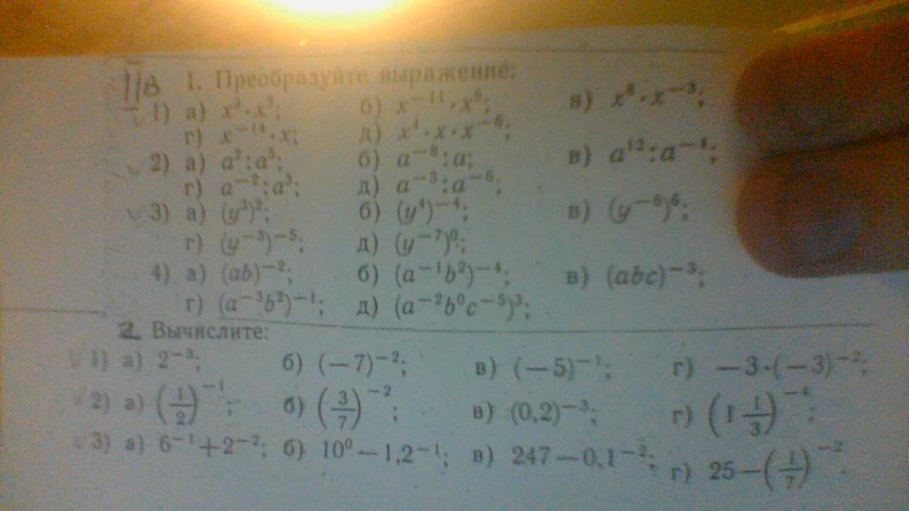
    question img

Ответы 6

  • хоть немного понятно?
  • в том то и дело что я всё про**** когда болел и я нихрена не понимаю совсем
    • Автор:

      olson
    • 6 лет назад
    • 0
  • Ну я же понятно объяснила (...
    • Автор:

      turner
    • 6 лет назад
    • 0
  • тебе это в следующих классах пригодится, учи!
    • Автор:

      reese52
    • 6 лет назад
    • 0
  • некоторых чисел не видо, но как смогла сделала 
    answer img
  • Значит запоминай:1) Когда мы умножаем одинаковые основания с разными степенями, то основания остаются без изменений, а степени складываются. Например: х^2 × х^6 = х^2+6 = х^8 х^-4 × х^3 = х^-4+3 =х^-12) Когда мы делим одинаковые основания с разными степенями, то основания остаются без изменений, а степени вычитаются. Например: х^6 : х^3 = х^6-3 = х^3 х^2 : х^5 = х^2-5 = х^-3
    answer img
    • Автор:

      arnav
    • 6 лет назад
    • 0
  • Добавить свой ответ

Войти через Google

или

Забыли пароль?

У меня нет аккаунта, я хочу Зарегистрироваться

How much to ban the user?
1 hour 1 day 100 years