• Объясните, пожалуйста, задание. Пробовала решать сама, а ответ неверным оказался.

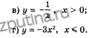
    Докажите, что заданная функция возрастает:

    question img

Ответы 1

  • Для того, чтобы решить такое задание, нужно знать и уметь пользоваться производной.1. Найдем производную от yy'(x) = (-1/x)' = 1/x^2Значит  y'(x) > 0 , при x>0 - функция возрастает. 2. Найдем производную от yy'(x) = (-3x^2)' = -6xЗначит При x<=0, y'(x) >=0, значит функция возрастает
    • Автор:

      jazz
    • 6 лет назад
    • 0
  • Добавить свой ответ

Войти через Google

или

Забыли пароль?

У меня нет аккаунта, я хочу Зарегистрироваться

How much to ban the user?
1 hour 1 day 100 years