• Срочно помогите с логарифмическими уравнениями в системе

    question img

Ответы 1

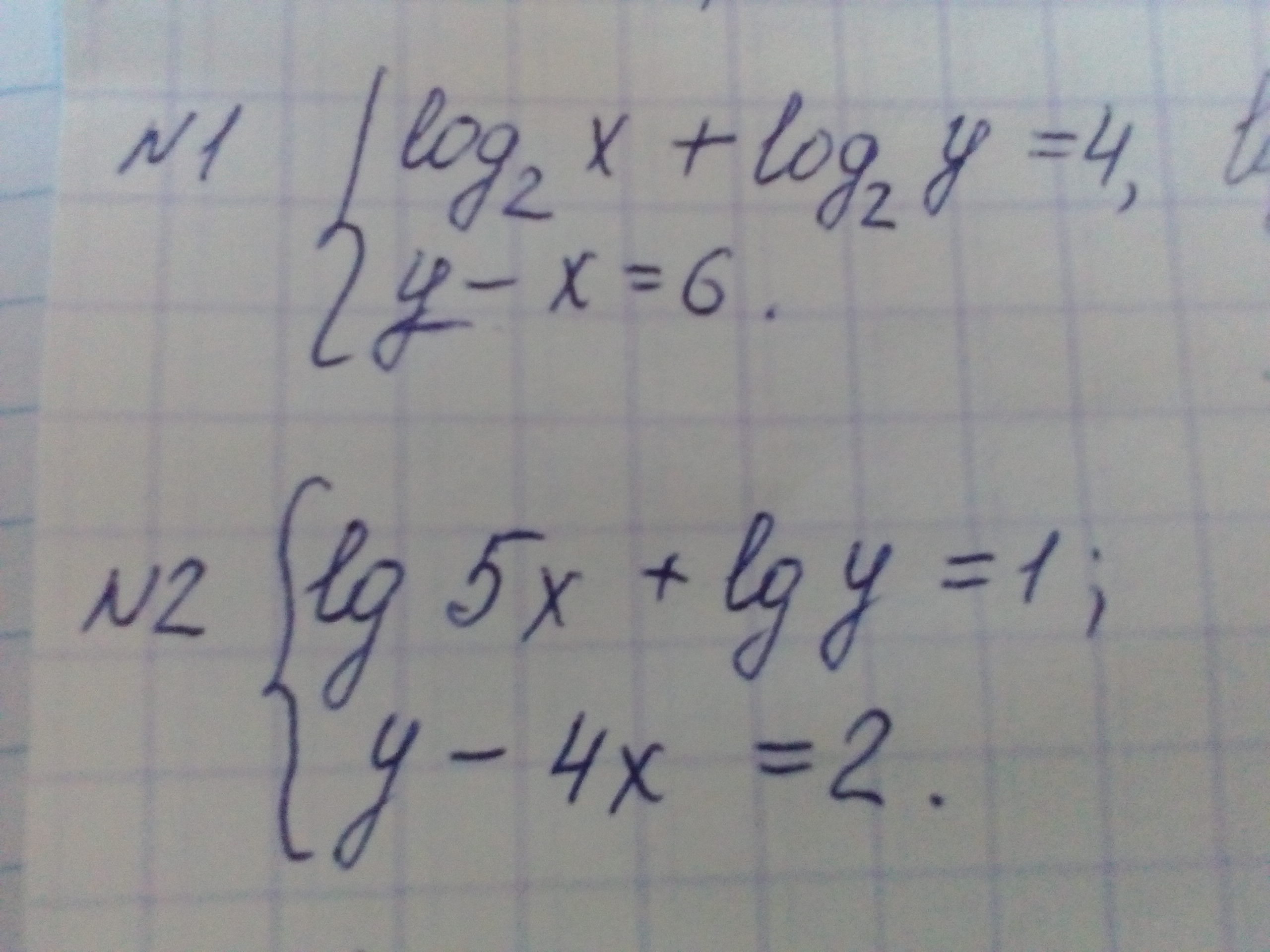
  • D(f) в обоих случаях x>0     y>01) log2(xy)=log2(16)y=6+xxy=16y=x+6x(x+6)=16x²+6x-16=0D=36+64=10²x₁=(-6-10)/2=-8 не подходит по ОДЗx₂=(-6+10)/2=2y=2+6=82) lg(5xy)=lg10y=4x+25xy=10xy=2x(4x+2)=22x₂+x-1=0D=1+8=3²x₁=(-1-3)/4=-1 не подходит поОДЗx₂=(-1+3)/4=0,5y=(4/2)+2=4
    • Автор:

      scott677
    • 6 лет назад
    • 0
  • Добавить свой ответ

Войти через Google

или

Забыли пароль?

У меня нет аккаунта, я хочу Зарегистрироваться

How much to ban the user?
1 hour 1 day 100 years