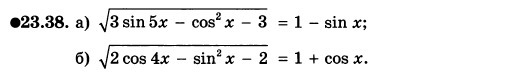
• Решите пожалуйста.Алгебра и начало анализа 10 класс.Мордкович(Профильный уровень).Фото прикреплено.Под буквой б.

    question img

Ответы 1

  • Область определения.2cos 4x-sin^2 x-2>=02cos 4x>=2+sin^2 x>=2Очевидно2cos 4x=2cos 4x=14x=2Π*kx=Π/2*kТеперь решаем уравнение.Возводим в квадрат.2cos(2Πk)-sin^2(Π/2*k)-2=1+cos x2-0-2=1+cos xcos x=-1x=Π+2Π*kЭти решения входят в область определенияx=Π/2*kОтвет: П+2П*k
    • Автор:

      jet77
    • 6 лет назад
    • 0
  • Добавить свой ответ

Войти через Google

или

Забыли пароль?

У меня нет аккаунта, я хочу Зарегистрироваться

How much to ban the user?
1 hour 1 day 100 years