• Можете решение полностью расписать?
    Как это вообще вычислять?

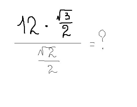
    question img

Ответы 1

  •  \frac{6 \sqrt{3} }{ \frac{ \sqrt{2}}{2} } \\ \\ 
 \frac{6 \sqrt{3} * 2 }{ \sqrt{2}} } \\ 
 \frac{12 \sqrt{3} }{ 2} }  \\ \\ 
6 \sqrt{6}
    • Автор:

      elein
    • 6 лет назад
    • 0
  • Добавить свой ответ

Войти через Google

или

Забыли пароль?

У меня нет аккаунта, я хочу Зарегистрироваться

How much to ban the user?
1 hour 1 day 100 years