• Пожалуйста помогите прошу!!
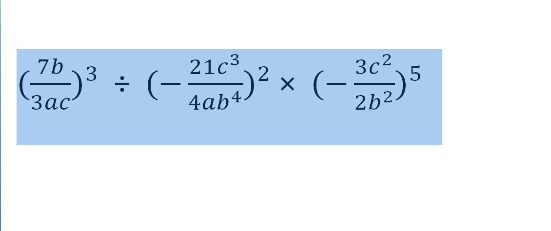
    упростить выражение

    question img
    question img

Ответы 2

  • Большое спасибо.
  • решение в приложении
    answer img
    • Автор:

      beaneph5
    • 6 лет назад
    • 0
  • Добавить свой ответ

Еще вопросы

Войти через Google

или

Забыли пароль?

У меня нет аккаунта, я хочу Зарегистрироваться

How much to ban the user?
1 hour 1 day 100 years