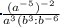
• Найдите значение выражения
    При а=1,5 и b= 3\4

    question img

Ответы 1

  •  \frac{(a^{-5})^{-2}}{a^3(b^3:b^{-6})} = \frac{a^{10}}{a^3b^9} = \frac{a^7}{b^9}  \\  \\ \frac{a^7}{b^9} = (\frac{3}{2} )^7:( \frac{3}{4} )^9= \frac{3^7}{2^7} : \frac{3^9}{4^9} = \frac{3^7*4^9}{2^7*3^9} = \frac{(2^2)^9}{2^7*3^2} = \frac{2^{18}}{2^7*3^2} =\frac{2^{11}}{3^2} = \frac{2048}{9} =227 \frac{5}{9} Ответ: 227 \frac{5}{9}
    • Автор:

      puffy
    • 6 лет назад
    • 0
  • Добавить свой ответ

Войти через Google

или

Забыли пароль?

У меня нет аккаунта, я хочу Зарегистрироваться

How much to ban the user?
1 hour 1 day 100 years