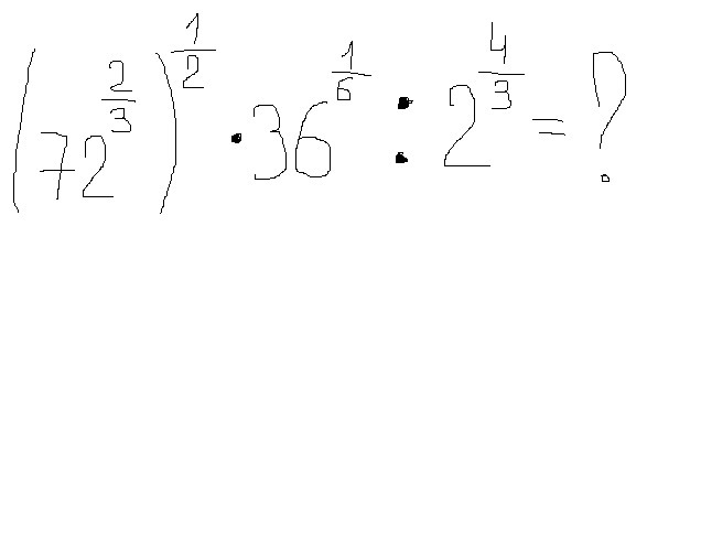
• вычислить
    Распишите все подробно
    Заранее спасибо!)

    question img

Ответы 4

  • ааааа.... я потом писала не в степени 4/3 ,а в степени 3/4 ,поэтому с ответом не мходилось
  • спасибо)
    • Автор:

      zane
    • 6 лет назад
    • 0
  • вроде такпопробуй и сравни ответ с кем нибудь
    answer img
  • я все расписала надеюсь поймешудачи
    answer img
    • Автор:

      kellyvwkt
    • 6 лет назад
    • 0
  • Добавить свой ответ

Еще вопросы

Войти через Google

или

Забыли пароль?

У меня нет аккаунта, я хочу Зарегистрироваться

How much to ban the user?
1 hour 1 day 100 years