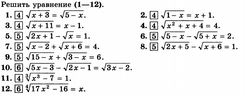
• Помогите пожалуйста!!! Срочно!!! 3и 9. Можно ещё 10 и 12

    question img

Ответы 6

  • X+11=x^2-2x+1
    • Автор:

      rubio
    • 6 лет назад
    • 0
  • Перенеси и решай
    • Автор:

      oseasj0ql
    • 6 лет назад
    • 0
  • Спасибо большое)) А 9 тоже самое, да?
    • Автор:

      fido76
    • 6 лет назад
    • 0
  • Почти также
  • А можете объяснить?
    • Автор:

      riggs8577
    • 6 лет назад
    • 0
  • Просто в квадрат возвели и решай квадратное уравнение
    • Автор:

      elaina
    • 6 лет назад
    • 0
  • Добавить свой ответ

Еще вопросы

Войти через Google

или

Забыли пароль?

У меня нет аккаунта, я хочу Зарегистрироваться

How much to ban the user?
1 hour 1 day 100 years