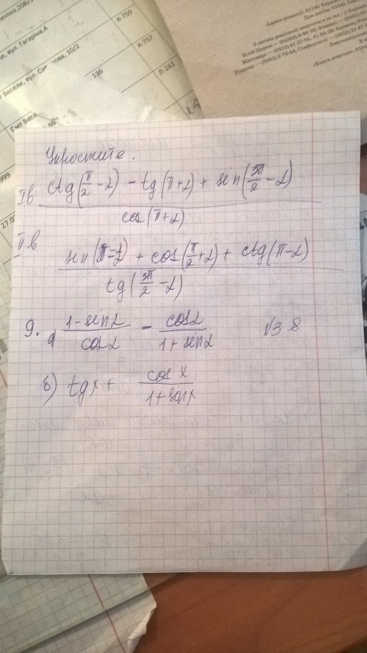
• Срочно! УПРОСТИТЕ тригонометрические примеры: задание 9 (а,б)

    question img

Ответы 2

  • спасибо большое))
  • a) (1-sinα) / cosα -cosα /(1+sinα) =((1-sinα)(1+sinα) -cos²α) / cosα(1+sinα) =((1-sin²α) - cos²α) / cosα(1+sinα)  =(cos²α - cos²α) / cosα(1+sinα) =0 . б)tqx + cosx /(1+sinx) =  sinx / cosx +cosx /(1+sinx) = (sinx(1+sinx) +cos²x) / cosx(1+sinx)  = (sinx+sin²x+cos²x) / cosx(1+sinx) = (1+sinx) / cosx(1+sinx)  = 1 /cosx . 
    • Автор:

      alfredo
    • 6 лет назад
    • 0
  • Добавить свой ответ

Еще вопросы

Войти через Google

или

Забыли пароль?

У меня нет аккаунта, я хочу Зарегистрироваться

How much to ban the user?
1 hour 1 day 100 years