• Значение какого из данных ниже выражений является наибольшим?

    можно ,пожалуйста, с объяснением

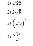
    question img

Ответы 2

  • √22 так и оставляем2√5=√4*5=√20(√5)²=√25√30/√2=√30/2=√15√25 больше
    • Автор:

      juanl0nn
    • 6 лет назад
    • 0
  • 1) корень из 22.2)2 корня из 5, это и есть корень из 20.3) Корень из 5 в квадрате, это и есть 5, то есть корень из 254. Корень из 30 делённая на корень из 2 это и есть корень из 30/2 = корень из 15.У 5 наибольшее подколенное значение, значит он наибольшее число.
    • Автор:

      bobo
    • 6 лет назад
    • 0
  • Добавить свой ответ

Войти через Google

или

Забыли пароль?

У меня нет аккаунта, я хочу Зарегистрироваться

How much to ban the user?
1 hour 1 day 100 years