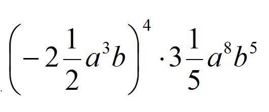
• 99 баллов. Упростите выражение.

    question img

Ответы 1

  • (-2 1/2а³b)^4*3 1/5a^8b^5(5/2a³b)^4*16/5a^8b^5125a^12b^4a^8b^5125a^20b^9^-степень.
    • Автор:

      wilmamlgm
    • 6 лет назад
    • 0
  • Добавить свой ответ

Войти через Google

или

Забыли пароль?

У меня нет аккаунта, я хочу Зарегистрироваться

How much to ban the user?
1 hour 1 day 100 years