• ПОМОГИТЕЕЕЕЕЕЕЕЕЕЕЕЕЕЕЕЕЕЕЕЕЕ очень надо
    Буду благодарна

    question img

Ответы 1

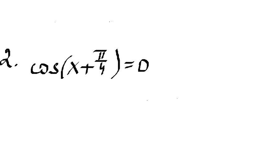
  • cos(x+ \frac{ \pi }{4} )=0 \\ x+ \frac{ \pi }{4} = \frac{ \pi }{2} +2 \pi k \\ x= \frac{ \pi }{2}- \frac{ \pi }{4}  +2 \pi k \\ x= \frac{ \pi }{4}+2 \pi k  k∈Z
    • Автор:

      kamari
    • 6 лет назад
    • 0
  • Добавить свой ответ

Еще вопросы

Войти через Google

или

Забыли пароль?

У меня нет аккаунта, я хочу Зарегистрироваться

How much to ban the user?
1 hour 1 day 100 years