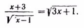
• х+3\корень х-1 = корень 3 х+1
    Помогите пожалуйста!!!

    question img

Ответы 2

  • Спасибо!!)
  • ОДЗ:{x-1>0      ⇒ x>1{3x+1≥0    ⇒ x ≥1/3x∈[1/3;+∞)Возводим в квадрат.(x+3)²/(x-1)=3x+1(x+3)²-(3x+1)·(x-1)=0x-1≠0x²+6x+9-3x²-x+3x+1=0x²-4x-5=0D=16+20=36x₁=-1   x₂=5x₁∉ОДЗО т в е т. х=5
  • Добавить свой ответ

Войти через Google

или

Забыли пароль?

У меня нет аккаунта, я хочу Зарегистрироваться

How much to ban the user?
1 hour 1 day 100 years