• НУЖНА ПОМОЩЬ СРОЧНО ОЧЕЕЕЕЕЕЕЕЕЕЕЕЕНЬ . Пропустил тучу уроков и уже конец полугодия ... А надо нагнать . Не обязательно все , но большую часть пожалуйста . :) Отдаю последние баллы .

    question img

Ответы 1

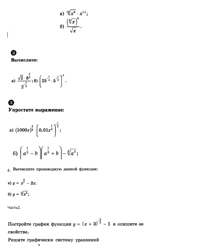
  • Решение дано на фото.
    answer img
    • Автор:

      amyu0ml
    • 6 лет назад
    • 0
  • Добавить свой ответ

Еще вопросы

Войти через Google

или

Забыли пароль?

У меня нет аккаунта, я хочу Зарегистрироваться

How much to ban the user?
1 hour 1 day 100 years