• Поздравляю всех с наступающим.
    В честь такого праздника даю вам систему логарифмических уравнений. Принимаю только правильные, полностью расписанные решения.
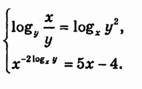
    [tex] \left \{ {{log_y{\frac{x}{y}}=log_xy^2} \atop {x^{-2log_xy}=5x-4}}} ight. [/tex]

    question img

Ответы 1

  • Решение в прикрепленных файлах:
    answer img
    • Автор:

      vernon
    • 6 лет назад
    • 0
  • Добавить свой ответ

Еще вопросы

Войти через Google

или

Забыли пароль?

У меня нет аккаунта, я хочу Зарегистрироваться

How much to ban the user?
1 hour 1 day 100 years