• Решить три уравнения с подробным решением (Уравнения во вложении)

    question img

Ответы 2

  • Спасибо
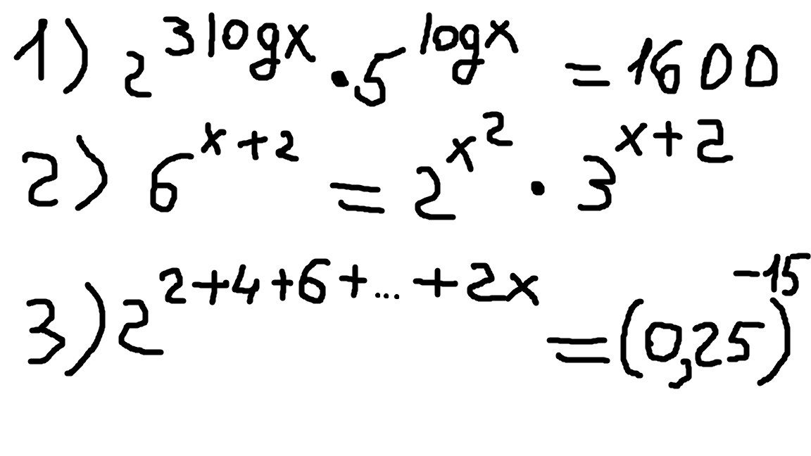
  • 12^3lgx*5^lgx=16008^lgx*5^lgx=1600(8*5)^lgx=160040^lgx=40²lgx=2x=10026^(x+2)=2^x² *3^(x+2)(2*3)^(x+2)=2^x²+(3^(x+2)2^(x+2)*3^(x+2)=2^x²+3^(x+2)разделим на 3^(x+2)2^(x+2)=2^x²x+2=x²x²-x-2=0x1+x2=1 U x1*x2=-2x1=-1 U x2=232^(2+4+6+...+2x)=(2^-2)^-152^(2+4+6+...+2x)=2^302+4+6+...+2x=30В левой части сумма х членов арифметической прогрессииS(x)=(2+2x)*x/2=302(1+x)*x/2=30(1+x)*x=30x²+x-30=0x1+x2=-1 U x1+x2=-30x1=-6 не удов усл,т.к. х-число членов прогрессииx2=5
  • Добавить свой ответ

Войти через Google

или

Забыли пароль?

У меня нет аккаунта, я хочу Зарегистрироваться

How much to ban the user?
1 hour 1 day 100 years