• Помогите пожалуйста решить!!! Показательное уравнение 10 класс

    question img

Ответы 2

  • спасибо большое))
    • Автор:

      samara
    • 6 лет назад
    • 0
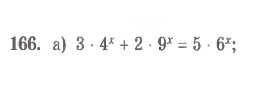
  • 4^x(3+2*9^x/4^x)=5*6^x3+2*(9/4)^x=5*(6/4)^x5*(3/2)^x-2*(9/4)^x-3=0;5*(3/2)^x-2*(3/2)^2x-3=0;y=(3/2)^x5y-2y^2-3=0;2y^2-5y+3=0;D=1; y1=1,5; y2=1(3/2)^x=1,5(3/2)^x=3/2;x=1;(3/2)^x=1;x=0;Ответ: x1=1; x2=0
  • Добавить свой ответ

Войти через Google

или

Забыли пароль?

У меня нет аккаунта, я хочу Зарегистрироваться

How much to ban the user?
1 hour 1 day 100 years