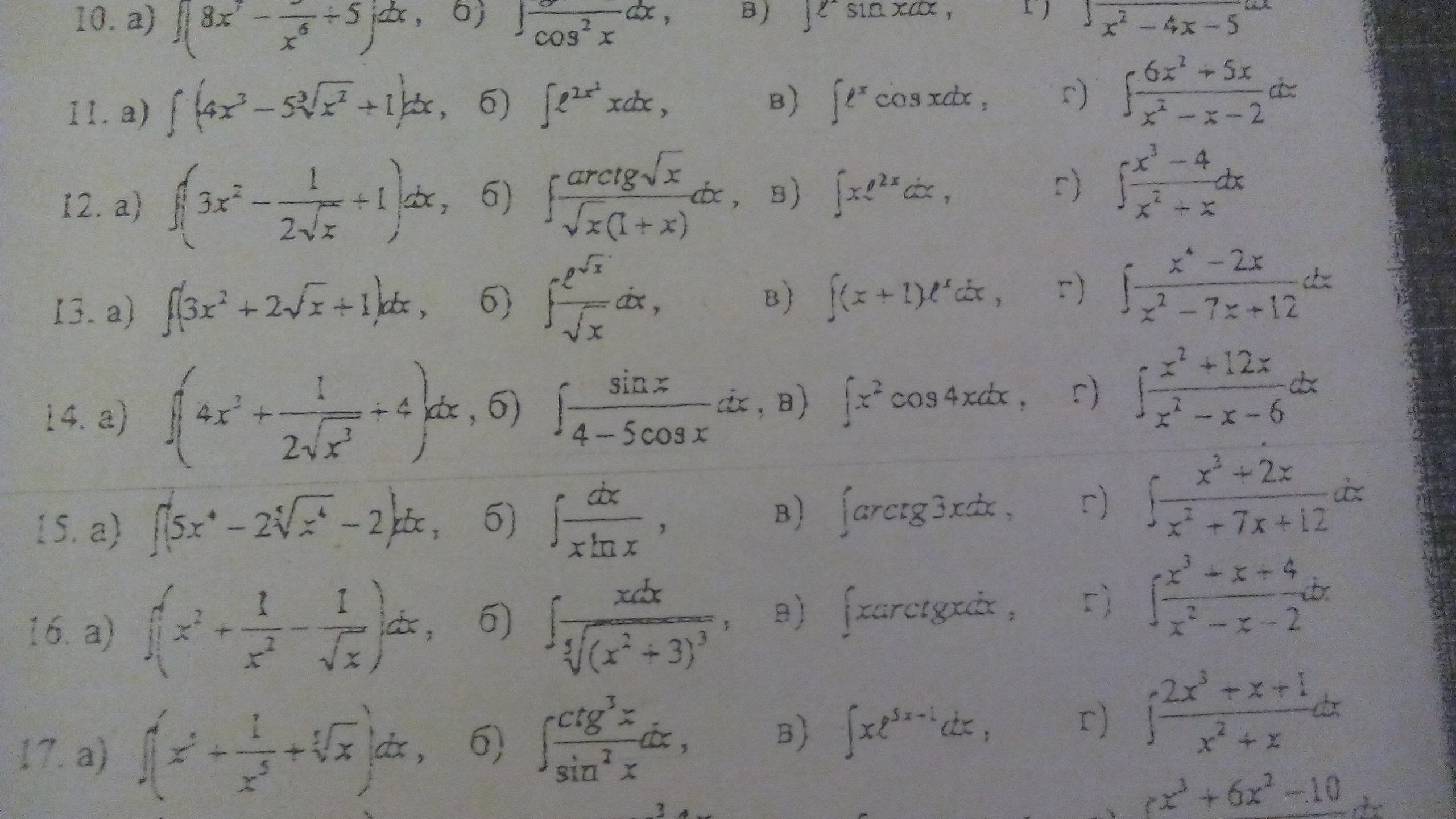
• Найти неопределенные интегралы
    14 задание под а,б,в,г.

    question img

Ответы 1

  • 1)  \int {(4x^3+ \frac{1}{2 \sqrt{x^3} }+4) } \, dx =4\cdot \frac{x^4}{4}+ \frac{1}{2}\cdot \frac{x^{-} \frac{3}{2}+1 }{ \frac{-3}{2}+1 } +4x+C= \\  \\ =x^4- \frac{1}{ \sqrt{x} } +4x+C.  2) \int \frac{sinxdx}{4-5cosx}  \, =  \frac{1}{5}  \int \frac{d(4-5cosx)}{4-5cosx}  \, = \frac{ln(4-5cosx)}{5}+C 3) u=x^2;du=2xdx; \\ \\  dv=cos4xdx;v= \frac{sin4x}{4}  \\  \\ 
 \int{x^2cos4xdx} \,=x^2\cdot \frac{sin4x}{4} - \frac{1}{2}   \int{xsin4xdx} = \\  \\ =x^2\cdot \frac{sin4x}{4} - \frac{1}{2} \cdot(- \frac{x\cos4x}{4}+\int{ \frac{cos4xdx}{4} })=  
=x^2\cdot \frac{sin4x}{4} +\frac{x\cos4x}{8}- \frac{sin4x}{32} +C4)= \int {1+ \frac{13x+6}{(x+2)(x-3)} } \, dx= \int {(1+ \frac{4}{x+2}+ \frac{9}{x-3} }) } \, dx= \\  \\ =x+4ln|x+2|+9ln|x-3|+C.
  • Добавить свой ответ

Войти через Google

или

Забыли пароль?

У меня нет аккаунта, я хочу Зарегистрироваться

How much to ban the user?
1 hour 1 day 100 years