• Помогите решить 4 задание пожалуйста, даю много баллов за лучший ответ

    question img

Ответы 4

  • что значит [tex]?
    • Автор:

      bunnylhja
    • 6 лет назад
    • 0
  • ok
    • Автор:

      sissy
    • 6 лет назад
    • 0
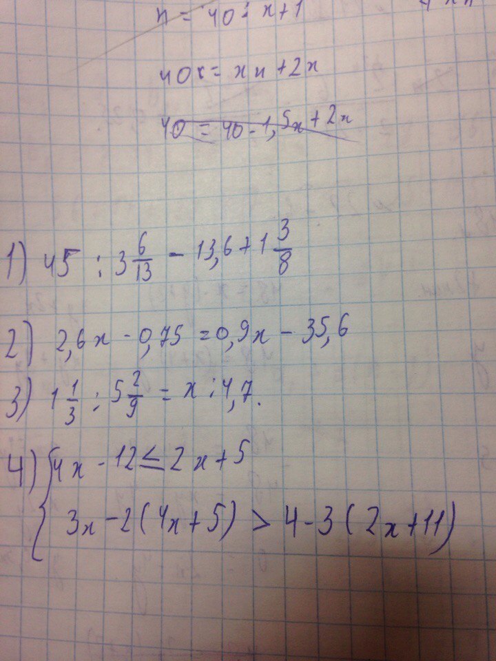
  • № 4убираем скобки и все решаем,перенося неизвестное влево,а известное вправоОтвет:-19<x<8,5
    • Автор:

      vincent89
    • 6 лет назад
    • 0
  •  \left \{ {{4x-12 \leq 2x+5} \atop {3x-2(4x+5)\ \textgreater \ 4-3(2x+11)}} ight.  \\  \\ 4x-12 \leq 2x+5 \\ 2x \leq 17 \\ x \leq 8,5 \\  \\ 3x -2(4x+5)\ \textgreater \ 4-3(2x+11) \\ 3x-8x-10\ \textgreater \ 4-6x-33 \\ x\ \textgreater \ -19x∈(-19;8,5]Ответ: x∈(-19;8,5]
  • Добавить свой ответ

Войти через Google

или

Забыли пароль?

У меня нет аккаунта, я хочу Зарегистрироваться

How much to ban the user?
1 hour 1 day 100 years