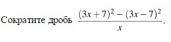
• ребят помогите пожалуйста... желательно решение на фотках..

    question img

Ответы 2

  • Пожалуйста
  • По формулам сокращённого умножения (это один способ, там ещё второй есть, но сложнее).
    answer img
    • Автор:

      alyson
    • 6 лет назад
    • 0
  • Добавить свой ответ

Еще вопросы

Войти через Google

или

Забыли пароль?

У меня нет аккаунта, я хочу Зарегистрироваться

How much to ban the user?
1 hour 1 day 100 years