• Помогите, срочно! #4

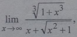
    Вычислить предел, расписать подробнее.

    question img

Ответы 1

  • Ответ зависит от того, к какой бесконечности стремится x, так как выражение можно преобразовать к виду (x \sqrt[3]{1+1/x^3} )/(x+|x| \sqrt{1+1/x^2} . Будем считать, что x стремится к плюс бесконечности, модуль x раскрываем с плюсом, а тогда после сокращения числителя и знаменателя на x получаем дробь \sqrt[3]{1+1/x^3} / \(1+sqrt{1+1/x^2} , которая, очевидно, стремится к 1/2 
    • Автор:

      devonl74p
    • 6 лет назад
    • 0
  • Добавить свой ответ

Войти через Google

или

Забыли пароль?

У меня нет аккаунта, я хочу Зарегистрироваться

How much to ban the user?
1 hour 1 day 100 years