• 9 класс.Ребят,я вас молю! Решите пожалуйста,у меня не получается! Очень срочно надо

    question img

Ответы 1

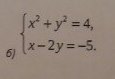
  • {x²+y²=4{x-2y=-5{(2y-5)²+y²=4{x=2y-54y²-20y+25+y²-4=05y²-20y+21=0D=(-20)²-4*5*21=400-420=-20 <0  решений нетОтвет: Решений нет
    • Автор:

      john38
    • 6 лет назад
    • 0
  • Добавить свой ответ

Еще вопросы

Войти через Google

или

Забыли пароль?

У меня нет аккаунта, я хочу Зарегистрироваться

How much to ban the user?
1 hour 1 day 100 years