• Помогите пожалуйста!!!
    Решите данную систему уравнений!!!

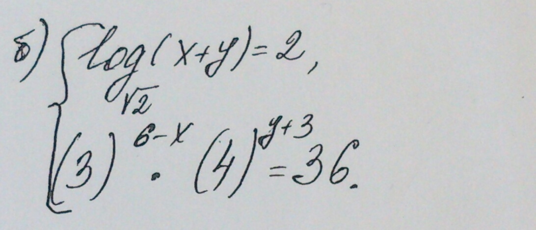
    question img

Ответы 2

  • Решение смотри на фото
    answer img
    • Автор:

      holden265
    • 6 лет назад
    • 0
  • log√2 (x+y)=23^(6-x)*4^(y+3)=36одз x+y>0√2²=x+y3^(6-x)*2^2(y+3)=3^2*2^26-x=22(y+3)=2x=4y=-2ответ (4 -2)
    answer img
    • Автор:

      flopsy
    • 6 лет назад
    • 0
  • Добавить свой ответ

Войти через Google

или

Забыли пароль?

У меня нет аккаунта, я хочу Зарегистрироваться

How much to ban the user?
1 hour 1 day 100 years