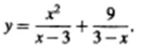
• Постройте график функции y = x^2 / x-3 + 9 / 3-x.

    question img

Ответы 1

  • y=x²/(x-3)-9/(x-3)=(x²-9)/(x-3)=x+3   x≠3так что это прямая - строят по 2 точкам х=0 у=3 и х=-3 у=0 и выкалывают точку х=3 на прямой. Или показывают поведение функции - у  меня вертикальная прямая х=3 с у=∞
    answer img
  • Добавить свой ответ

Войти через Google

или

Забыли пароль?

У меня нет аккаунта, я хочу Зарегистрироваться

How much to ban the user?
1 hour 1 day 100 years