• ПОМОГИТЕ ПОЖАЛУЙСТА! С РЕШЕНИЕМ-ЛУЧШИЙ ОТВЕТ!
    Найдите значение выражения:
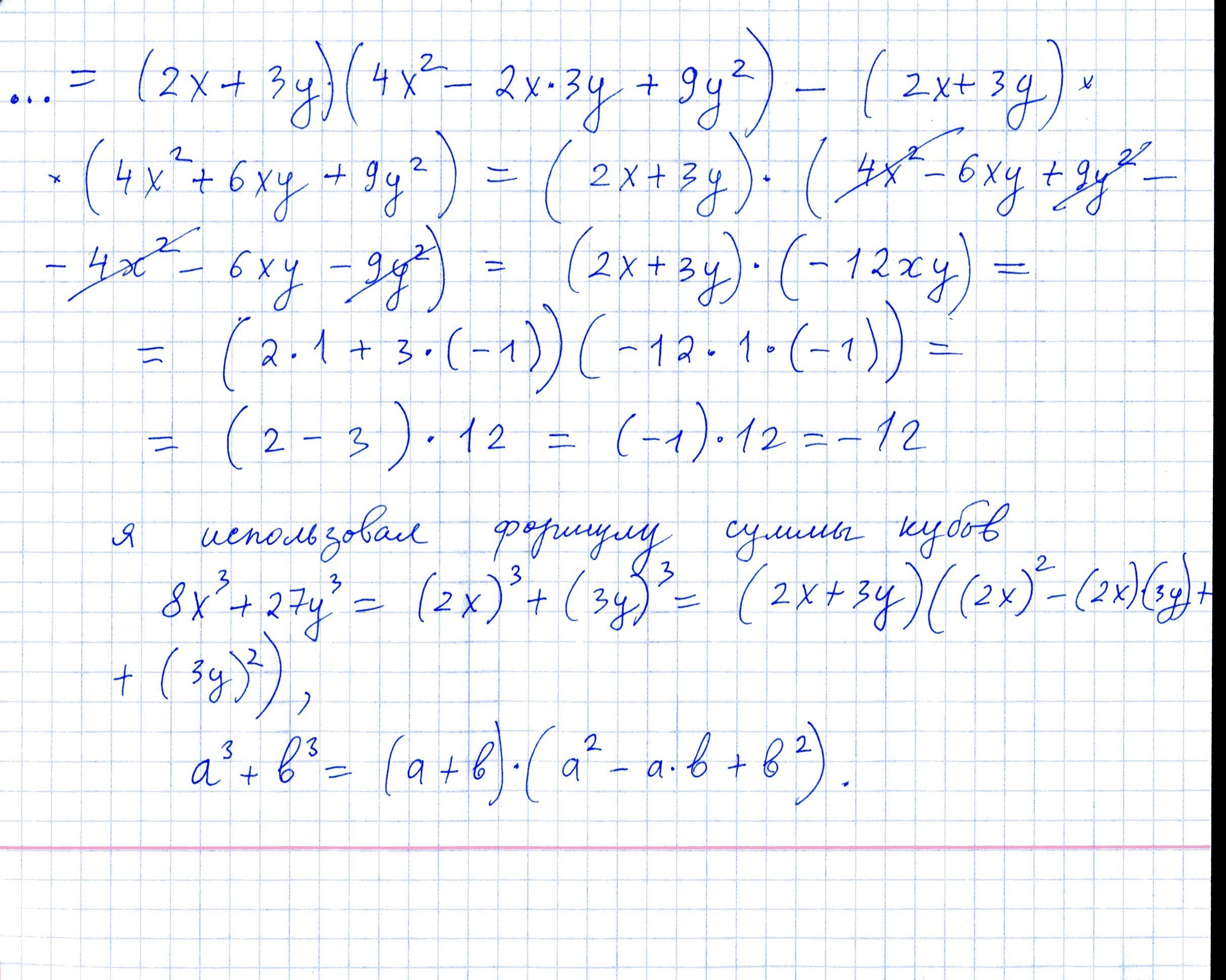
    8х³ + 27у³ - (2х + 3у)(4х² + 6ху + 9у²) при х=1, у=-1

Ответы 1

  • Прикрепил изображение-файл ниже -------------->>
    answer img
  • Добавить свой ответ

Войти через Google

или

Забыли пароль?

У меня нет аккаунта, я хочу Зарегистрироваться

How much to ban the user?
1 hour 1 day 100 years