• ОЧЕНЬ СРОЧНО!!!!!!!НАПИШИТЕ ПОЖАЛУЙСТА ПРАВИЛЬНОЕ ПОДРОБНОЕ РЕШЕНИЕ УРАВНЕНИЙ!!!!!!!!!!!!ОТДАЮ ВСЕ СВОИ 34 БАЛЛА!!!!!!!

    question img
    question img

Ответы 1

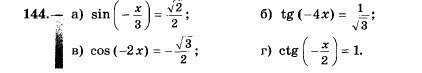
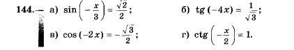
  • а-sinx/8=√2/2sinx/8=-√2/2x/8=5π/4+2πn U x/8=7π/4+2πnx=10π+16πn U x=14π+16πn,n∈zб-tg4x=-1/√3tg4x=1/√34x=π/6+πnx=π/24+πn/4,n∈zвcos2x=-√3/22x=+-5π/6+2πnx=+-5π/12+πn,n∈zг-ctgx/2=1ctgx/2=-1x/2=3π/4+πnx=3π/2+2πn,n∈z
    • Автор:

      beyonce
    • 6 лет назад
    • 0
  • Добавить свой ответ

Войти через Google

или

Забыли пароль?

У меня нет аккаунта, я хочу Зарегистрироваться

How much to ban the user?
1 hour 1 day 100 years