• Помогите, срочно)
    Тригонометрия 10класс
    спасибо)

    question img

Ответы 1

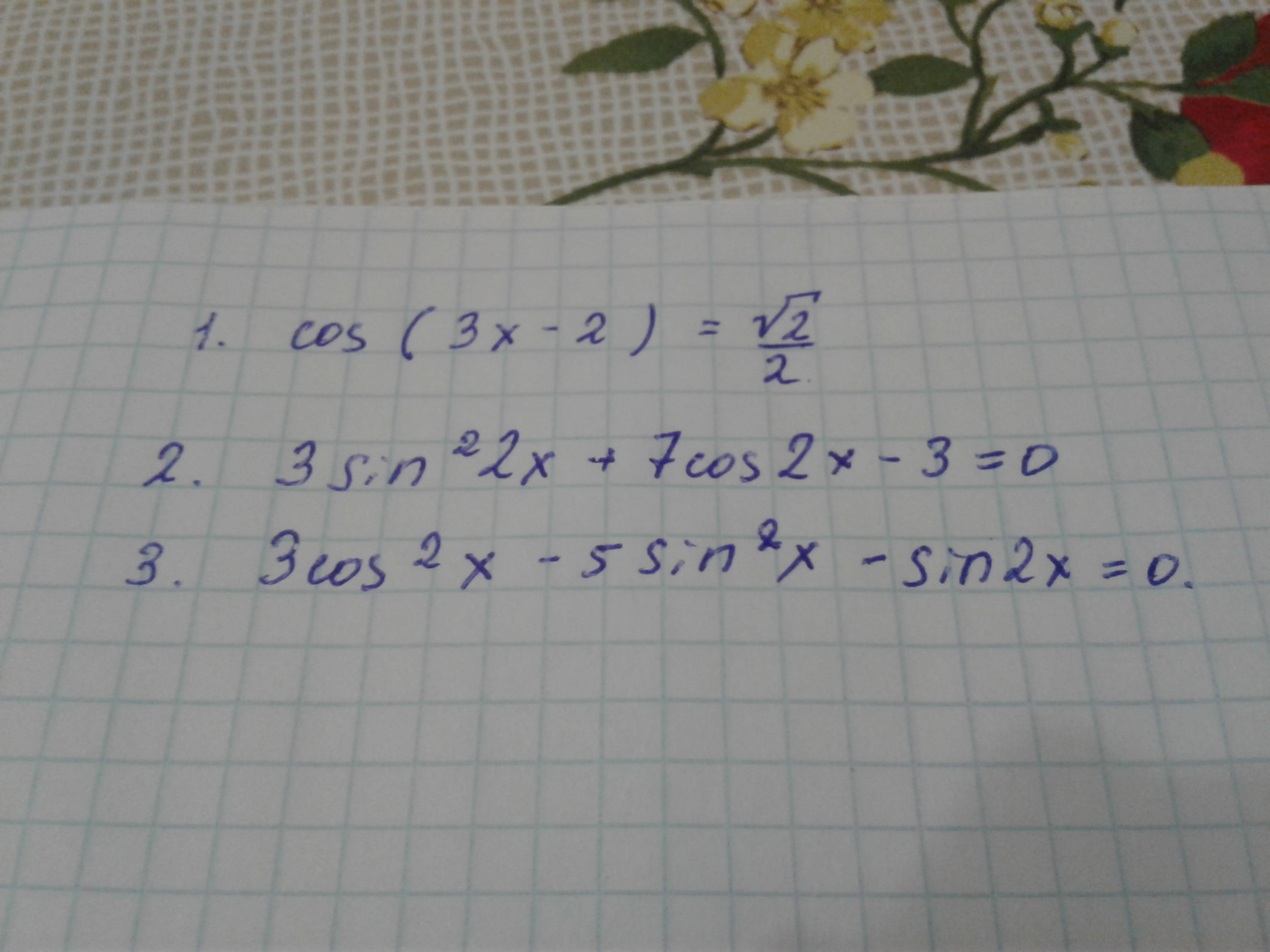
  • 1)cos(3x-2)=√2/23x-2=±п/4+2пк,к€z3x=2±п/4+2пk,k€zx=2/3±п/12+2пk/3,k€z2)3sin²2x+7cos2x-3=03(1-cos²2x)+7cos2x-3=03-3cos²2x+7cos2x-3=0-3cos²2x+7cos2x=0cos2x(-3cos2x+7)=0cos2x=02x=п/2+пn,n€zx=п/4+пn/2,n€z-3cos2x=-7cos2x=7/3∅ x€[-1;1]3)3cos²x-5sin²x-sin2x=03cos²x-5sin²x-2sinxcosx=0 |:cos²x3-5tg²x-2tgx=0-5tg²x-2tgx+3=0tgx=t-5t²-2t+3=0D=4-4*(-5)*3=4+60=64t1=2+8/-10=-1t2=2-8/-10=-6/-10=0,6tgx=-1x=-п/4+пn,n€ztgx=0,6x=arctg0,6+пk,k€z
  • Добавить свой ответ

Войти через Google

или

Забыли пароль?

У меня нет аккаунта, я хочу Зарегистрироваться

How much to ban the user?
1 hour 1 day 100 years